Artrite Idiopatica Giovanile (artrite reumatoide del bambino): verso la terapia personalizzata

L’Artrite Idiopatica Giovanile, nelle sue tre forme oligoarticolare, poliarticolare e sistemica e’ tra le malattie a decorso cronico più frequenti dell’età pediatrica e  nei casi più difficili  può  compromettere anche gravemente la qualità della vita.

La terapia si basa sull’uso di diversi tipi di farmaci come gli  antinfiammatori, i corticosteroidi (anche intrarticolari), gli immunosoppressori (in particolare il metotrexate) e, nei casi piu’ complessi , sulle cosiddette terapie biologiche. La scelta del farmaco avviene, soprattutto nei casi più difficili, su base empirica. Purtroppo infatti non sono stati identificati fino ad ora precisi fattori utili a predire la risposta clinica ai diversi farmaci e a scegliere per ogni paziente il farmaco “giusto al dosaggio giusto”.

Presso il Burlo Garofolo e’ stato avviato un progetto di ricerca finalizzato alla personalizzazione della terapia nei pazienti con artrite idiopatica giovanile, particolarmente per quanto riguarda  il metotrexate e i farmaci biologici. Lo studio si propone  di caratterizzare ogni paziente sul piano genetico e clinico per   individuare, per ognuno, il farmaco  specificamente più adatto e i dosaggi ideali per ottenere la massima efficacia col minimo rischio di effetti collaterali. E' noto che non tutti i pazienti si comportano allo stesso modo per gravità ed espressione clinica e, allo stesso modo, ogni paziente può rispondere diversamente allo stesso tipo di  farmaci compresi i farmaci biologici che sono considerati i farmaci più efficaci e da riservare per i casi più difficili.  E' noto altresì che esistono molti geni implicati nel determinare  la risposta ai farmaci   e che  regolano, per ogni singolo paziente, il grado di suscettibilità agli effetti terapeutici e il rischio di  effetti collaterali.

Il progetto di studio da noi proposto, e che vede collaborare il gruppo italiano di reumatologia pediatrica, si propone di  individuare i geni responsabili della risposta clinica ai farmaci anti-TNFalfa, il farmaco biologico maggiormente utilizzato; il fine ultimo è quello di   individuare a priori quei pazienti che hanno una maggior probabilità di rispondere agli anti TNFalfa in modo da poterli trattare in prima battuta con questo tipo di farmaco, senza perdere tempo prezioso con terapie che potrebbero non essere altrettanto efficaci.

Si va, dunque, concretamente, verso la cosiddetta terapia personalizzata.

Lo studio, partito da pochi mesi, poggia  su una consolidata collaborazione tra i reumatologi della Clinica Pediatrica dell’IRCCS Burlo Garofolo e i Farmacologi dell’Universita’ di Trieste. Collaborazione che ha già portato, nell’ambito della terapia dell’Artrite Giovanile Idiopatica, importanti risultati riguardo alla personalizzazione della terapia con Metotrexate. Grazie a questa collaborazione, infatti, sono già stati individuati i geni che regolano la risposta individuale al farmaco, conoscenza che apre, ad esempio, la possibilità di riconoscere prima dell’inizio della terapia coloro che avranno una maggior probabilità di buona risposta clinica al trattamento  e/o maggior  rischio di effetti   permettendo quindi di dare ad ogni paziente la dose più adeguata alle caratteristiche individuali.

 

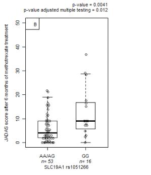
 risposta clinica misurata attraverso lo score JADAS per l’artrite idiopatica giovanile.

fig.1: Risposta clinica misurata attraverso lo score JADAS per l’artrite idiopatica giovanile. La risposta clinica al methotrexate risulta essere maggiore nei pazienti portatori di alcuni specifici polimorfismi presenti sul gene che sovraintende il metabolismo del methotrexate

Amministrazione Trasparente